| 欢迎访问宏荣纺织有限公司官方网站! | 手机/微信 | 186-5073-8858 |
※
染色基本理论
一、染色概念
染色是指染料从染液中自动转移到纤维上,并在
纤维上形成均匀、坚牢、鲜艳色泽的过程。
衡量染品质量优劣的三个指标
1、匀染性→色差、色花
2、色牢度→色褪、色变
3、鲜艳度→色暗
二、染料在染液中存在的基本形式
1、染料的电离
(1)阴离子染料的电离
D- Na+→ D- + Na+
常见阴离子基: - SO3- 、-COO-、 -OSO3- 等。
(2)阳离子染料电离
D+X-→D+ + X-
常见阳离子基:-N+HR1R2等。
常见离去基: Cl- 等。
2、染料的溶解
Dn → nD
染料溶解度一般用每升水中所能溶解染料的克数表示(g/L)。
影响染料溶解度的因素:
(1)染料分子结构
(2)染料分子质量
(3)染液温度
(4)染液pH值
(5)染液中助剂性质
3、染料的分散
Dn → Dm1 + Dm2 + Dm3 …
n=m1+m2+m3+…
影响染料分散液稳定性的因素
(1)染料晶体颗粒的大小;
(2)分散剂的性质、用量;
(3)分散液的温度。
4、染料的聚集
分子型染料: nD → Dn
阴离子型染料:nD- → (Dn)n-
阳离子型染料:nD+ → (Dn)n+
染料的聚集是染料溶解的逆过程。
影响染料聚集的因素:
(1)染料分子结构、分子质量、浓度
(2)染液温度
(3)染液pH值
(4)染液中助剂性质
三、 纤维在染液中的状态
1、纤维的吸湿膨胀
*常用纤维在水中的吸湿膨胀率
(1)纤维的吸湿膨胀发生在纤维的非晶区;
(2)纤维的吸湿膨胀率与纤维亲水性有关;
(3)纤维的吸湿膨胀有利于染料的上染。
常用纤维在水中的吸湿膨胀率

2、纤维在染液中的电现象
(1)纤维在染液中带电的原因
*纤维分子中原有的阴离子基的电离;
*纤维在染液中吸附了带负电的粒子 ;
*纤维的介电常数小于染液的介电常数 。
纤维表面所带电荷电性取决于染液pH值!
(2)界面动电现象和动电层电位
*纤维/染液附近的带电离子分布
*界面双电层和动电层电位
*常见纤维的动电层电位
纤维/染液附近的带电离子分布

界面双电层和动电层电位

吸附层和扩散层之间的相对运动的现象称为界面动电现象 。
常见纤维的动电层电位

(3)纤维的电现象对染料上染的影响
*染料离子与纤维间作用力
*染料离子在纤维表面附近的浓度分布
*纤维的电现象对染料上染的影响
当染料与纤维带有同号电荷时,不利于染料的上染;
当染料与纤维带有异号电荷时有于染料的上染。
染料离子与纤维间作用力

染料离子在纤维表面附近的浓度分布

(4)染色体系中的盐效应
*盐效应作用原理
纤维对带有异号电荷的钠离子的吸引,中和了纤维所带的部分电量,降低了动电层电位的绝对值。

*盐效应的影响因素
①染料所带电荷与质量之比
荷质比越大,盐效应越明显。
②盐中金属离子的化合价和离子半径的大小
Na+<K+<Mg2+<Ni2+<Mn2+<Zn2+<Al3+
四 、染色的基本过程
1、染料的吸附
(1)吸附/解吸速率变化示意

t = 0 V吸最大 V解=0
t = ti V吸变小 V解变大
t = t∞ V吸 = V解 此时吸附/解吸达到平衡
(2)平衡上染百分率和上染百分率
平衡上染百分率

上染百分率

(3)吸附等温线
染色达到平衡时,纤维上的染料浓度与染料在染液中浓度的分配关系曲线 。

①分配型吸附等温线

固溶体机理
在染色平衡状态下,染料在纤维上的浓度与染料在染液中的浓度之比为一常数,纤维上的染料浓度随着染液浓度的增加成比例增加,直至饱和。
②弗莱因德利胥(Freundlich)吸附等温线


多分子层物理吸附机理
[D]f随[D]s的增加而增加,但[D]f的增加幅度随着[D]s的增加逐趋缓慢。
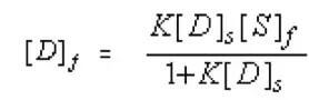
③朗格缪尔(Langmuir)吸附等温线


化学定位吸附机理又称为成盐机理
[D]s增加时,[D]f随之缓慢增加,但当[D]s增大到一定值时,[D]f不再随[D]s增加而变化,即达到染色饱和值。
2、染料的扩散
*染料由纤维表面向纤维内部转移的过程。
*染料在纤维上的扩散对染色速率及染色的匀染性起着决定性的作用。
(1)染色速率
半染时间(t1/2)
染料的上染量达到平衡上染量一半时所需的时间

(2)匀染和移染
*匀染是指染料在纤维上均匀分布的过程 。
*移染是指染料从纤维上某处解吸下来到纤维另一处重新上染的过程。
3、染料的固着
*染料的固着是指扩散后均匀分布在纤维上的染料通过染料—纤维间的作用力而固着在纤维上的过程。
*染料—纤维间的作用力
染料-纤维间的作用力

染料-纤维间固着力的类型和大小对染色的色牢度起着决定性的作用。
五、染色牢度及其测定
1、染色牢度
*染品在染后加工或在服用过程中,染料(或颜料)在各种外界因素的影响下,能否保持原来色泽状态的能力。
2、常见染色牢度及其测定
(1)耐洗牢度及其测定
(2)耐摩擦牢度及其测定
(3)耐日晒牢度及其测定
*蓝色标样所用染料及其结构类别



